重铬酸钾法测定COD(本方法适用于COD浓度范围在50—500mg/l的水
样)
一、重铬酸钾法测定(CODCr)的原理
在强酸性溶液中,准确加入过量的重铬酸钾标准溶液,加热回流,将水样中还原性物质(主要是有机物)氧化,过量的重铬酸钾以试亚铁灵作指示剂,用硫酸亚铁铵标准溶液回滴,根据所消耗的重铬酸钾标准溶液量计算水样化学需氧量。 二、仪器
1.500ml全玻璃回流装置; 2.加热装置(电炉);
3.25ml 或50ml酸式滴定管、锥形瓶、移液管、容量瓶等。 三、试剂
1、重铬酸钾标准溶液(K2Cr2O7):
称取预先在120℃烘干2h 的基准或优质纯重铬酸钾12.258g 溶于水中,移入1000ml 容量瓶,稀释**标准线,摇匀。 2.试亚铁灵指示液:
称取1.485g 邻菲啰啉(C12H8N2•H2O)、0.695g 硫酸亚铁(FeSO4•7H2O)溶于水中,稀释**100ml,储于棕色瓶内。 3.硫酸亚铁铵标准溶液 ((NH4)2 Fe(SO4)2•6H2O):称取39.5g 硫酸亚铁铵溶于水中,边搅拌边缓慢加入20ml 浓硫酸,冷却后移入1000ml 容量瓶中,加水稀释**标线,摇匀。临用前,用重铬酸钾标准溶液标定。 标定方法:
准确吸取10.00ml 重铬酸钾标准溶液于500ml 锥形瓶中,加水稀释**110ml 左右,缓慢加入30ml 浓硫酸,混匀。冷却后,加入3滴试亚铁灵指示液(约0.15ml),用硫酸亚铁铵溶液滴定,溶液的颜色由黄色经蓝绿色**红褐色即为终点。
C=0.2500×10.00/V
式中:C-----硫酸亚铁铵标准溶液的浓度(mol/L); V-----硫酸亚铁铵标准溶液的用量(ml)。 4.硫酸-硫酸银溶液:
于500ml 浓硫酸中加入5g 硫酸银。放置1-2d,不时摇动使其溶解。 5.硫酸汞:结晶或粉末。 四、测定步骤
1.移液管移水样5.00mL于消解罐中,加入5.00mL消解液(重铬酸钾),即时摇匀,再加入5.00mL催化剂(硫酸-硫酸银溶液),摇匀。 2.另做一空白样,加5.00mL蒸馏水,其他照加。
3.放入微波炉消解 3罐——5min 4罐——6min 5罐——7min
4.消解液倒入锥形瓶中,冲洗消解罐3次,加2滴指示剂,用硫酸亚铁铵回滴,颜色由黄经蓝绿**红褐色,即为终点。 5.标定硫酸亚铁铵溶液。 五、计算

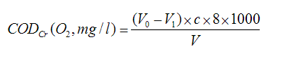
式中,c——硫酸亚铁铵溶液浓度,mol/l; V0——滴定空白样量,ml; V1——滴定水样量,ml; V——水样体积,5ml。
高锰酸钾法测定COD
一、实验原理
高锰酸钾指数在一定条件下,以高锰酸钾为氧化剂,处理水样时所消耗的氧量,以氧的mg/l来表示。水中部分有机物及还原性无机物均可消耗高锰酸钾。因此,高锰酸钾指数常作为水体受有机物污染程度的综合指标。 水样加入硫酸使之呈酸性后,加入一定量的高锰酸钾溶液,并在沸水浴中加热反应一定时间。剩余的高锰酸钾加入过量草酸钠溶液还原,再用高锰酸钾溶液回滴过量的草酸钠,通过计算求出高锰酸盐指数。 二、仪器 1.水浴装置 2.250ml锥形瓶 3.50ml酸式滴定管 三、试剂